Weekly Advanced Technologies〔92〕丨Metastable inorganic SEI unlocks lithium battery fast-charging; Key Mechanisms Underlying Organic Fertilization in Enhancing Black Soil Quality: A PLS-PM Analysis
The fast-charging capability of lithium-ion batteries remains limited by the interfacial structure and ion transport properties of the SEI film, though groundbreaking research now shows current density can actively regulate SEI film composition - a discovery that opens new avenues for advanced battery engineering. Meanwhile in agricultural science, studies on Northeast China's vital black soil resources reveal that organic fertilizer application substantially improves carbon sequestration and nutrient retention (including nitrogen and phosphorus) through its remarkable ability to enhance soil aggregate formation and stability, directly supporting national food security initiatives.
Based on the weekly diary of technology provided by the daily list of the NCSTI online service platform, we launch the column "Weekly Advanced Technologies" at the hotlist of sci-tech innovation. Today, let's check out No.92.
1. ACS Energy Letters丨Metastable inorganic SEI unlocks lithium battery fast-charging

(a) Schematic illustration of current-density-derived interfacial evolution mechanisms
(b) Interfacial ion transport impedance
(c) Rate performance of electrodes under different formation protocols
(d) Interface structure under rapid formation conditions
(e) Structural evolution of interfaces during fast formation
The performance of lithium-ion batteries is highly dependent on the solid electrolyte interphase (SEI) formed at the electrode-electrolyte interface. This film features a complex structure comprising both organic/inorganic and crystalline/amorphous components, while undergoing dynamic evolution during battery operation, directly impacting reaction kinetics and state of health.
The research team led by Professor WANG Xuefeng at the Beijing National Laboratory for Condensed Matter Physics has focused on interfacial dynamic processes, employing cryogenic electron microscopy to systematically investigate SEI formation mechanisms. Their previous discovery of low-temperature-induced metastable organic-rich SEI films that hinder Li⁺ transport led to the development of a "low LUMO energy level + polar groups" electrolyte design strategy promoting inorganic-rich SEI formation for improved low-temperature performance. Current research reveals current density's critical role in SEI evolution: low currents favor single-electron reduction forming organic-rich SEI while high currents promote two-electron reduction generating inorganic-rich SEI.
These inorganic particles follow classical nucleation theory, exhibiting increased population density, reduced size, and compact stacking with rising current density, creating abundant grain boundaries that significantly lower Li⁺ migration barriers (0.12 eV reduction) and enhance ionic conductivity (3.2×10⁻⁵ S/cm at -20°C). This dense structure simultaneously suppresses electrolyte decomposition, maintaining SEI stability during 6C fast charging with 92.4% capacity retention after 200 cycles. The team's findings, published in Nature Energy (2023, DOI:10.1038/s41560-023-01302-y), demonstrate a 4.7-fold improvement in -30°C discharge capacity compared to conventional electrolytes.
This work has redefined conventional wisdom, offering both conceptual and experimental advances for high-rate battery interfaces.
2. Plant and Soil丨Key Mechanisms Underlying Organic Fertilization in Enhancing Black Soil Quality: A PLS-PM Analysis

Path analysis based on partial least squares-path modeling (PLS-PM)
Black soils, hailed as the "giant pandas of cultivated land," are crucial for ensuring national food security and ecological sustainability. The Northeast Institute of Geography and Agroecology, Chinese Academy of Sciences, leveraging the Hailun Agroecology Experimental Station, has systematically evaluated the long-term effects of organic fertilization on black soil aggregate structure, carbon-nitrogen-phosphorus nutrient reserves, and soil quality indices within a corn-soybean rotation system.
The study revealed that combined application of chemical and organic fertilizers significantly increased the proportions of macro-aggregates (>0.25 mm) and meso-aggregates (0.053–0.25 mm), elevating soil organic carbon (SOC), total nitrogen (TN), and total phosphorus (TP) stocks by 7.59%–14.79%, 3.37%–25.78%, and 4.63%–18.33%, respectively, compared to chemical-only or no-fertilizer treatments. Both topsoil and subsoil quality indices improved by 18.32%–33.08% and 2.4%–17.0%, correspondingly. A stratified nutrient contribution pattern emerged among aggregate fractions: In topsoil, meso-aggregates dominated nutrient retention, accounting for 87.8% of SOC, 97.6% of TN, and 85.2% of TP—identifying them as the key units for fertility enhancement. In subsoil, macro-aggregates played the predominant role.
Random forest analysis identified native soil nitrogen stocks as the primary driver of soil quality. At the aggregate scale, macro-aggregates in topsoil played a pivotal role in total phosphorus (TP) retention, while micro-aggregates (<0.053 mm) in subsoil were critical for organic carbon (SOC) sequestration. The partial least squares-path modeling (PLS-PM) further demonstrated that organic fertilizers systemically enhance Mollisol quality by: stimulating the formation of meso- and macro-aggregates, and strengthening synergistic SOC-TN-TP accumulation. These findings have provided both theoretical foundations and practical pathways for scientific fertilization and sustainable utilization of Northeast China’s black soil region.
3. Advanced Materials丨A Locked Lamellar Liquid Crystal Polymer with Concurrent High Thermal Conductivity and Low Dielectric Loss

Schematic illustration of ST38PB thin film and its potential applications
With the rapid advancement of high-frequency communications and artificial intelligence, microelectronic devices demand dielectric materials that simultaneously possess low dielectric constant, low dielectric loss, and high thermal conductivity. Conventional polymer materials often suffer from poor heat dissipation and excessive signal attenuation. To address these challenges, a research team led by Dr. FANG Qiang and Dr. SUN Jing at the Shanghai Institute of Organic Chemistry, Chinese Academy of Sciences, has successfully developed a high-performance low-dielectric liquid crystal polymer by leveraging the molecular ordering effect of liquid crystals.
The research team has designed and synthesized a liquid crystal molecule, ST38, incorporating terphenyl cores, long alkyl chains, and styrene terminal groups. This molecule has been crosslinked into polybutadiene (PB) to form the ST38PB liquid crystal polymer. Under high-temperature processing, ST38 has self-assembled into well-ordered lamellar liquid crystalline domains, and its alignment has been "locked" via styrene crosslinking, maintaining structural stability even at 260°C.
The material has demonstrated significantly enhanced thermal conductivity: its in-plane thermal conductivity reaches 0.62 W·m⁻¹·K⁻¹, which is 3.4 times higher than that of pristine PB (0.18 W·m⁻¹·K⁻¹). Simultaneously, at 10 GHz high frequency, it has exhibited excellent dielectric properties, with a Dk of only 2.40 and an ultralow Df of 3.3×10⁻³. Furthermore, the ST38PB thin film has shown remarkable flexibility, thermal stability, and hydrophobicity, making it highly promising for applications in microelectronic packaging and high-frequency/high-speed printed circuit boards (PCBs).
This work has provided a novel strategy for designing hydrocarbon-based liquid crystal polymers that simultaneously achieve high thermal conductivity and low dielectric properties, and the methodology can be extended to the development of advanced dielectric materials for other high-temperature processing scenarios.
4. Physical Review Letters丨Breakthrough in Dark Photon Detection: Quantum Sensor Achieves Unprecedented Sensitivity

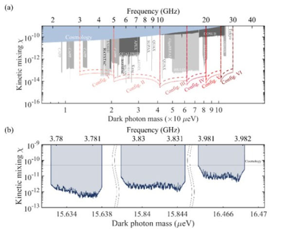
(a) Expected sensitivity bounds of the extensible dark matter detection framework
(b) Exclusion bounds derived from the principle-verification experiment
A research team from the University of Science and Technology of China (USTC) has proposed a scalable new architecture for searching for ultralight dark matter based on a superconducting qubit system and has completed a proof-of-concept experimental verification on a multi-qubit superconducting quantum chip.
Modern cosmological observations indicate that dark matter constitutes approximately 25% of the total mass of the universe, with ultralight bosons such as axions and dark photons (mass range ~1–100 μeV) being prime candidates due to their extremely weak interactions with ordinary matter. However, existing detection methods are often limited by the trade-off between measurement range and sensitivity. To address this challenge, the team utilized micro-nano fabrication technology to integrate multiple frequency-tunable superconducting qubits on a single chip, constructing a highly sensitive detection platform capable of simultaneously scanning multiple energy bands.
The research team developed a three-qubit superconducting quantum chip and conducted searches in three dark photon energy bands—15.632–15.638 μeV, 15.838–15.845 μeV, and 16.463–16.468 μeV—while establishing the most stringent upper limits on dark photon-photon coupling strength to date. These limits improve upon previous astronomical observation-based constraints by one to two orders of magnitude. This approach significantly expands the effective search bandwidth through parallel detection while maintaining the high sensitivity of quantum sensing, thereby overcoming the limitations of traditional methods.
This pioneering work has successfully demonstrated the unparalleled potential of superconducting quantum architectures in exploring fundamental physics frontiers, particularly at the critical intersection of particle physics and cosmology, while simultaneously laying the foundation for scalable dark matter detection technologies. The innovative approach has achieved dual breakthroughs in both mass range coverage and detection precision, thereby establishing a transformative framework that promises to reshape our investigative capabilities regarding the universe's elusive dark components.